
How early is too early to look at midterm polls?
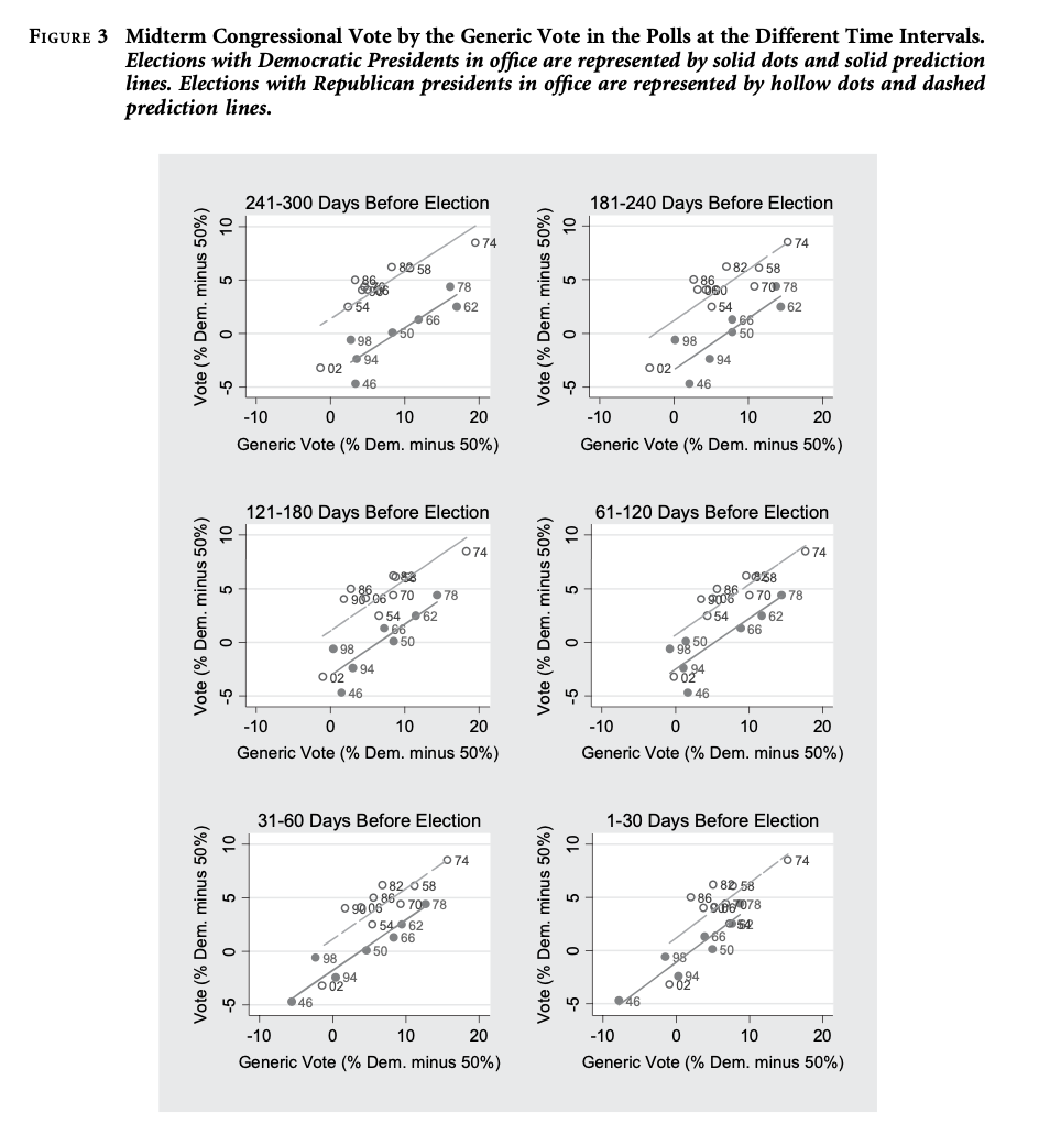
Early generic ballot polls are directionally useful, but the party out of power historically gains ground between now and November
Publishes on January 13th, 12:01pm. Subscribe now and receive the post in your inbox when it’s live
Available in 4 hours, 19 minutes, and 9 seconds

